Multiplying Radical Expressions Worksheet - 32 Simplifying Radicals Worksheet Answers Free Worksheet Spreadsheet : Adding,subtracting, and multiplying radical expressions.. This is a maze composed of 14 radical expressions that must be simplified by multiplication. We can use this rule to obtain an analogous rule for radicals: There is one property of radicals in multiplication that is important to remember. The pdf worksheets cover topics such as identifying the radicand and index in an expression, converting the radical form to exponential form and the other way around, reducing radicals to its simplest form, rationalizing the denominators, and simplifying the radical expressions. This is a maze composed of 14 radical expressions that must be simplified by multiplication.

Answers to multiplying radical expressions of index 2: 53 multiplying radical expressions worksheet elementary from multiply radical expressions worksheet , image source: So let's look at it. Basic rule on how to multiply radical expressions a radicand is a term inside the square root. This is a maze composed of 14 radical expressions that must be simplified by multiplication.

Math Worksheet Radicals Printable Worksheets And Activities For Teachers Parents Tutors And Homeschool Families
Math Worksheet Radicals Printable Worksheets And Activities For Teachers Parents Tutors And Homeschool Families from i0.wp.com
Bring learning to life with thousands of worksheets, games, and more from education.com. 1) 59 n 99 ⋅ 80 33 n 2) 53 43 ⋅ 46 n2 31 3) 93 21 n ⋅ 34 n 51 n 4) 79 n 25 ⋅ 85 27 n2 5) 96 38 n With variable factors 1) −12 x3 3 2) −60n 2n 3) −8x 15x 4) 45n 3n 5) −36x2 10x 6) −90n2 7) 20x 15 8) 6m m 9) −20 2b − 12 5b 10) 10x + 25x 11) 12k 3 − 6 2k 12) −15n 10 + 50 About this quiz & worksheet. Basic rule on how to multiply radical expressions a radicand is a term inside the square root. Radical roots always in pair; To multiply radical expressions, we follow the typical rules of multiplication, including such rules as the distributive property, etc. Radical expressions, equations, and functions module 3:

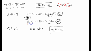
As long as the roots of the radical expressions are the same, you can use the product raised to a power rule to multiply and simplify.

As long as the roots of the radical expressions are the same, you can use the product raised to a power rule to multiply and simplify. Access these printable radical worksheets, carefully designed and proposed for students of grade 8 and high school. If we want to multiply two radical terms, then first we have to consider whether they are having same order. Adding,subtracting, and multiplying radical expressions. There is one property of radicals in multiplication that is important to remember. Here we are going to see some practice questions multiplying radical expressions. Simplifying radical expressions simplifying radical expressions with variables adding radical expressions multiplying radical expressions removing. The process of finding such an equivalent expression is called rationalizing the denominator. Having obtained an expression with like radicands, proceed with the operations. 1) 59 n 99 ⋅ 80 33 n 2) 53 43 ⋅ 46 n2 31 3) 93 21 n ⋅ 34 n 51 n 4) 79 n 25 ⋅ 85 27 n2 5) 96 38 n 53 multiplying radical expressions worksheet elementary from multiply radical expressions worksheet , image source: We can use this rule to obtain an analogous rule for radicals: The quiz is a combination of math problems and a general question.

Factorize the radicands and write the radicals in the simplest form. Some of the worksheets for this concept are multiplying radical, multiplying radical expressions, multiply the radicals, multiplying dividing rational expressions, grade 9 simplifying radical expressions, plainfield north high school, radical workshop index or root radicand, simplifying radicals 020316. Having obtained an expression with like radicands, proceed with the operations. Some of the worksheets below are multiplying and dividing radicals worksheets, properties of radicals, rules for simplifying radicals, radical operations practice exercises, rationalize the denominator and multiply with radicals worksheet with practice problems, … Here we are going to see some practice questions multiplying radical expressions.

Simplifying Radical Expressions Color Worksheet By Aric Thomas Tpt
Simplifying Radical Expressions Color Worksheet By Aric Thomas Tpt from ecdn.teacherspayteachers.com
We multiply radicals by multiplying their radicands together while keeping their product under the same radical symbol. Multiplying and dividing radical expressions worksheet with answers collection. Ab abmm m=() 11 ()1 (using the property of exponents given above) nn nn n n ab a b ab ab ⋅= ⋅ = = product rule for radicals With variable factors 1) −12 x3 3 2) −60n 2n 3) −8x 15x 4) 45n 3n 5) −36x2 10x 6) −90n2 7) 20x 15 8) 6m m 9) −20 2b − 12 5b 10) 10x + 25x 11) 12k 3 − 6 2k 12) −15n 10 + 50 Radical expressions, equations, and functions module 3: About this quiz & worksheet. 1) 59 n 99 ⋅ 80 33 n 2) 53 43 ⋅ 46 n2 31 3) 93 21 n ⋅ 34 n 51 n 4) 79 n 25 ⋅ 85 27 n2 5) 96 38 n The quiz is a combination of math problems and a general question.

1) 59 n 99 ⋅ 80 33 n 2) 53 43 ⋅ 46 n2 31 3) 93 21 n ⋅ 34 n 51 n 4) 79 n 25 ⋅ 85 27 n2 5) 96 38 n

The pdf worksheets cover topics such as identifying the radicand and index in an expression, converting the radical form to exponential form and the other way around, reducing radicals to its simplest form, rationalizing the denominators, and simplifying the radical expressions. Some of the worksheets for this concept are section multiplication and division of radicals, multiplying radical, divide and reduce the radicals, multiply the radicals, dividing radical, exponent operations work 1, mad minutes, indices and surds. Adding fractions, math dilation worksheets, combining like terms using manipulatives. If we want to multiply two radical terms, then first we have to consider whether they are having same order. The process of finding such an equivalent expression is called rationalizing the denominator. Access these printable radical worksheets, carefully designed and proposed for students of grade 8 and high school. Some of the worksheets for this concept are exponents and multiplication, multiplying radical, algebra work unknown variables in equations, multiplying radical expressions of index 2 with variable, multiplying integers, work 2 3 algebraic fractions, matrix multiplication date period, exponents and division. Some of the worksheets below are multiplying and dividing radicals worksheets, properties of radicals, rules for simplifying radicals, radical operations practice exercises, rationalize the denominator and multiply with radicals worksheet with practice problems, … This worksheet has model problems worked out, step by step as well as 25 scaffolded questions that start out relatively easy and end with some real challenges. Math+adding multiplying and dividing integers; Adding and subtracting radical expressions. Exponential form to radical form worksheets adding subtracting multiplying radicals worksheets dividing radicals worksheets algebra 1 algebra 2 square roots radical expressions introduction topics: About this quiz & worksheet.

1) 59 n 99 ⋅ 80 33 n 2) 53 43 ⋅ 46 n2 31 3) 93 21 n ⋅ 34 n 51 n 4) 79 n 25 ⋅ 85 27 n2 5) 96 38 n What happens then if the radical expressions have numbers that are located outside? Multiplying radical expressions recall the property of exponents that states that. Multiplying radical expressions worksheet multiplying radical expressions worksheet : Basic rule on how to multiply radical expressions a radicand is a term inside the square root.

Multiplying Radical Expressions Worksheet For 10th 11th Grade Lesson Planet
Multiplying Radical Expressions Worksheet For 10th 11th Grade Lesson Planet from content.lessonplanet.com
Adding fractions, math dilation worksheets, combining like terms using manipulatives. Math+adding multiplying and dividing integers; The pdf worksheets cover topics such as identifying the radicand and index in an expression, converting the radical form to exponential form and the other way around, reducing radicals to its simplest form, rationalizing the denominators, and simplifying the radical expressions. Adding,subtracting, and multiplying radical expressions. It is common practice to write radical expressions without radicals in the denominator. Factorize the radicands and write the radicals in the simplest form. There is one property of radicals in multiplication that is important to remember. You multiply radical expressions that contain variables in the same manner.

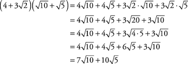
In both problems, the product raised to a power rule is used right away and then the expression.

Adding fractions, math dilation worksheets, combining like terms using manipulatives. C c umcaud mes dwkiktph4 wignof1i hn ti1t7e 5 qa4l lg zebborma5 f1i. There is one property of radicals in multiplication that is important to remember. You multiply radical expressions that contain variables in the same manner. Bring learning to life with thousands of worksheets, games, and more from education.com. So let's look at it. About this quiz & worksheet. 1 name_____ assignment date_____ period____ simplify. As long as the roots of the radical expressions are the same, you can use the product raised to a power rule to multiply and simplify. This is a maze composed of 14 radical expressions that must be simplified by multiplication. Look at the two examples that follow. Answers to multiplying radical expressions of index 2: Adding,subtracting, and multiplying radical expressions.

By